login
Home
My Account
Home
My Account
HOME
学校教育
幼児教育
小学校
小学1年生
小学2年生
小学3年生
小学4年生
小学5年生
小学6年生
中学生
中学の歴史
プログラミング
全てのプレイリスト
英語チャンネル
キッズ英会話
Eigot Channel
スポーツ
ダンス
一般教養
チャンネルリスト
すべてのチャンネル
すべてのプレイリスト
楽器を学ぼう
アート・美術
日本各地のライブカメラ
セミナー
サイトマップ
Submit Video
Home
playlist
中学3年・数学
中学3年・数学
Post Views:
1,215
Play All Videos
【中3数学 01-1】文字の入った分配法則
2018年5月31日
leda
0
0
0
【中3数学 01-2】除法と分配法則
2018年5月31日
leda
0
0
0
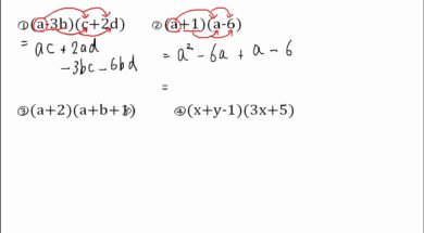
【中3数学 01-3】 (a+b)(c+d)の展開
2018年5月31日
leda
0
0
0
【中3数学 01-4】 (a+b)(c+d)の展開 問題
2018年5月31日
leda
0
0
0
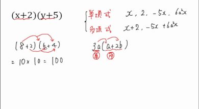
【中3数学 01-5】乗法公式①(x+a)(x+b)
2018年5月31日
leda
0
0
0
【中3数学 01-6】乗法公式①(x+a)(x+b) 問題
2018年5月31日
leda
0
0
0
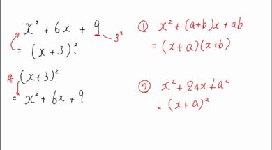
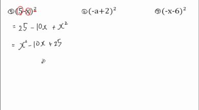
【中3数学 01-7】乗法公式②(x±a)2
2018年5月31日
leda
0
0
0
【中3数学 01-8】乗法公式②(x±a)2 問題
2018年5月31日
leda
0
0
0
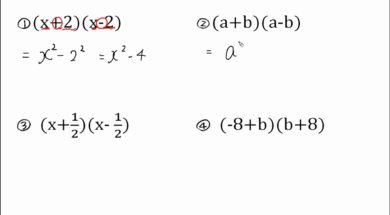
【中3数学 01-9】乗法公式③(x+a)(x-a)
2018年5月31日
leda
0
0
0
【中3数学 01-10】乗法公式③(x+a)(x-a) 問題
2018年5月31日
leda
0
0
0
【中3数学 02-1】算数の基本定理
2018年5月31日
leda
0
0
0
【中3数学 02-2】素因数分解のやり方
2018年5月31日
leda
0
0
0
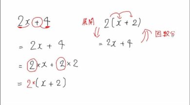
【中3数学 02-3】因数分解ってなに?
2018年5月31日
leda
0
0
0
【中3数学 02-4】因数分解① 共通因数でくくる
2018年5月31日
leda
0
0
0
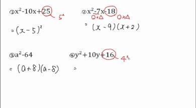
【中3数学 02-5】因数分解②(x+a)(x+b)
2018年5月31日
leda
0
0
0
【中3数学 02-6】因数分解③ (x±a)^2
2018年5月31日
leda
0
0
0
【中3数学 02-7】因数分解④ (x+a)(x-a)
2018年5月31日
leda
0
0
0
【中3数学 02-8】因数分解 公式の使い分け
2018年5月31日
leda
0
0
0
【中3数学 02-10】因数分解応用②(x+a)(x-a)
2018年5月31日
leda
0
0
0
【中3数学 02-11】因数分解応用③ 共通因数と公式
2018年5月31日
leda
0
0
0
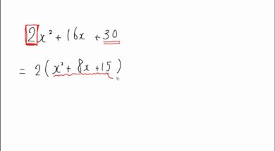
【中3数学 02-12】因数分解応用④ おきかえ
2018年5月31日
leda
0
0
0
【中3数学 03-5】 √の大小
2018年5月31日
leda
0
0
0
【中3数学 03-6】 √の大小 応用問題
2018年5月31日
leda
0
0
0
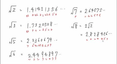
【中3数学 03-7】 √10までの覚え方
2018年5月31日
leda
0
0
0
【中3数学 03-8】有理数と無理数
2018年5月31日
leda
0
0
0
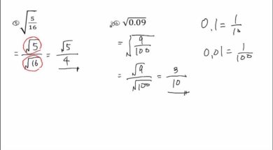
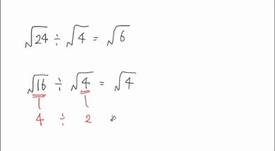
【中3数学 04-1】 √をふくむ乗法と除法
2018年5月31日
leda
0
0
0
【中3数学 04-2】a√b→√aにする
2018年5月31日
leda
0
0
0
【中3数学 04-3】√a→a√bにする
2018年5月31日
leda
0
0
0
【中3数学 04-4】√a→a√bにする 問題
2018年5月31日
leda
0
0
0
【中3数学 04-5】√を含む乗法と工夫
2018年5月31日
leda
0
0
0
Posts navigation
←
Older posts
Close
HOME
学校教育
幼児教育
小学校
小学1年生
小学2年生
小学3年生
小学4年生
小学5年生
小学6年生
中学生
中学の歴史
プログラミング
全てのプレイリスト
英語チャンネル
キッズ英会話
Eigot Channel
スポーツ
ダンス
一般教養
チャンネルリスト
すべてのチャンネル
すべてのプレイリスト
楽器を学ぼう
アート・美術
日本各地のライブカメラ
セミナー
サイトマップ
×
Submit Video
×
REPORT THIS
エラー:
コンタクトフォームが見つかりません。
Share this video